ÇOLAK: 'İSTİKLAL MARŞI OKUMAK SİZİ YORUYOR MU?'
Yılbaşı tatili sonrası okullarda ders başı yapıldı.Kayseri'de faaliyet gösteren bazı okulların İstiklal Marşı okumadan ders başı yaptığını söyleyen Türk Eğitim Sen 1 Nolu Şube Başkanı Muharrem Çolak, okul idarecilerine tepki gösterdi.
Yılbaşı tatili sonrası okullarda ders başı yapıldı. Kayseri’de faaliyet gösteren bazı okulların İstiklal Marşı okumadan ders başı yaptığını söyleyen Türk Eğitim Sen 1 Nolu Şube Başkanı Muharrem Çolak, okul idarecilerine tepki gösterdi. Çolak, bu yapılan hareketin hukuku çiğnediğini ifade etti.
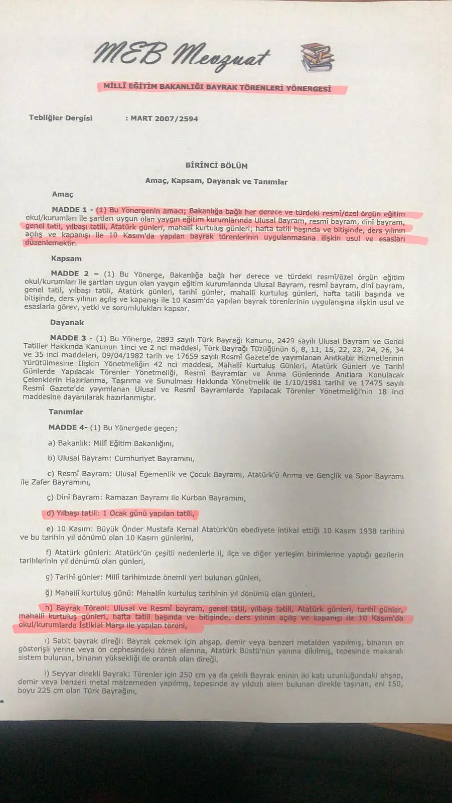
Yeni bir yıla başladık. Resmi kurumlarda bir günlük yılbaşı tatili yapıldı. Tatilin bitişinin ardından okullarda yeniden dersler başladı. Kayseri’de faaliyet gösteren bazı okulların İstiklal Marşı okumadan ders başı yaptığını söyleyen Türk Eğitim Sen 1 Nolu Şube Başkanı Muharrem Çolak, okul idarecilerine tepki gösterdi. Sosyal medya hesaplarından bir mesaj yayınlayan Çolak: “Bazılarının milli ve manevi değerlerle imtihanı devam ediyor. Bugün ilimizde bazı okullarda İstiklal Marşı okunmadan ders başı yapıldı. Gafletten mi, dalaletten mi yoksa hıyanetten mi böyle yapıldığını merak ediyorum. Yağcılıkta, yalakalıkta, yandaşlıkta yorulmayan muhterem ağızlarınız İstiklal Marşı okurken mi yoruluyor? Siz hürriyetin bedelini hatırlatan milli marşımızı okumayı ve okutmayı yük olarak mı görüyorsunuz? Yönetmelik tatil dönüşü İstiklal Marşı okunur diyor. Siz hukuku katlederek koltuğa oturdunuz diye hukuku çiğneyerek okul idare etmeyi gelenek haline mi getirdiniz? Bazı okullarımızdaki zihniyete bakınca insan Mehmet Akif'in kaygılarını daha iyi anlıyor. Allah bu millete bir daha İstiklal Marşı yazdırmasın. İçimizdeki bazılarına rağmen” dedi.
HABER: SALİH ZEKİ ÇETİN
Bakmadan Geçme
